会员
登录
会员
注册
服务
中心
信息
中心
手机版
新浪微博
腾讯微博
欧宝ob官网登录入口(中国)有限公司
欧宝ob官网登录入口(中国)有限公司
政策法规
产业市场
节能技术
能源信息
宏观环境
会议会展
活动图库
资料下载
焦点专题
智囊团
企业库
节能技术
中国节能产业网
>>
节能技术
>>
工业节能
>> 正文
三相异步电动机的定、转子电路分析
来源:互联网 时间:2007-8-8 9:14:44
用手机浏览
4.3.1 定子电路分析
定子由铁心、绕组与机座三部分组成;定子铁心是电动机磁路的一部分,它是由0.5mm的硅钢片叠压而成,片与片之间是绝缘的。定子绕组是电动机的电路部分,由许多线圈连接而成,每个线圈有两个有效边分别放在两个槽里。三相对称绕组AX,BY,CZ可连接成星型或三角形。
定子每相绕组中产生的感应电动势为:
有效值为:
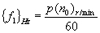
定子电动势或电流的频率:
漏磁电动势:
定子每相绕组上的电压为:
式中,R1和X1(X1=2πf1LL1)——定子每相绕组的电阻和漏磁感抗。
分享到:
相关文章
iTAG:
同步电动机
单相异步电动机
三相异步电动机的制动特性
三相异步电动机的调速特性
三相异步电动机的启动特性
三相异步电动机的机械特性
三相异步电动机的基本结构和参数
交流电机基础理论
频道推荐
服务中心
会员服务
最新项目
资金服务
园区招商
展会合作
产品代理
微信公众号
CESI
关于本站
版权声明
广告投放
网站帮助
联系我们
网站服务
会员服务
最新项目
资金服务
园区招商
展会合作
中国欧宝ob官网登录入口(中国)有限公司上线下相结合的一站式节能服务平台。
©2007-2016 CHINA-ESI.COM
鄂ICP备16002099号
节能QQ群:39847109
顶部
客服
微信二维码
底部
扫描二维码关注官方公众微信